甘肃农业大学研究团队在《Forests》发表研究成果(Haixia Huang等,2023年),系统探究了模拟降雨变化对珍稀孑遗植物裸果木(Gymnocarpos przewalskii)光合特性与抗氧化系统的影响。在该研究中,易科泰光合表型测量方案的应用,为精准解析沙生植物对降水变化的适应策略提供了关键技术支撑。

裸果木作为第三纪残遗物种,主要分布于中国西北沙漠地区,对维持荒漠生态平衡具有重要作用。随着全球气候变化加剧,西北干旱区降水格局波动显著,明确该物种的水分适应机制对生态保护至关重要。
研究设置 5 个降雨梯度(基准值±15%、±30% 及基准值),采用易科泰光合表型方案测定裸果木幼苗的净光合速率、蒸腾速率等气体交换参数,并通过光响应曲线分析获得表观量子效率、最大光合速率等核心指标。结果显示,降雨增加显著提升裸果木净光合速率和蒸腾速率,而降雨减少时,净光合速率下降由气孔限制(减少 15%)和非气孔限制(减少 30%)共同导致,同时叶片瞬时水分利用效率显著提高。

图1. 降雨变化对裸果木叶片光合特征参数的影响

图 2. 降雨变化下的光响应曲线(Pn–PAR)
表 1. 不同降雨处理下裸果木叶片的光响应参数

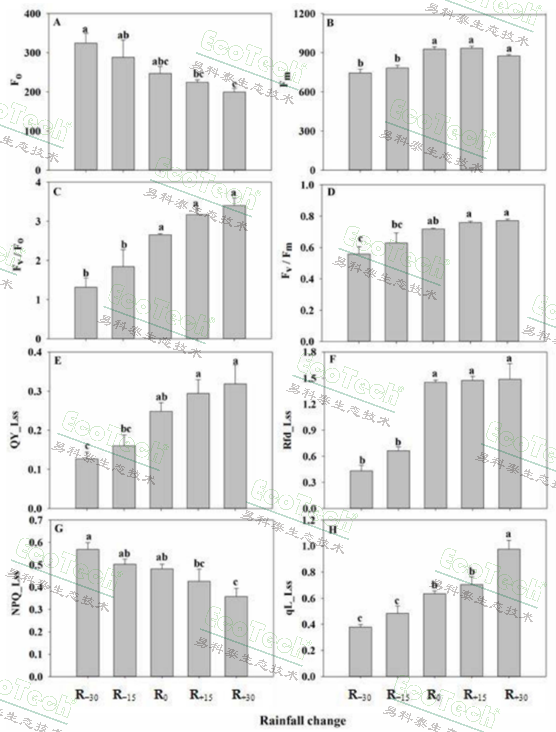
易科泰光合表型方案中的叶绿素荧光成像系统则精准捕获了降雨变化对裸果木光系统 II(PSII)功能的影响。数据表明,降雨减少导致叶绿素含量下降,PSII 最大光化学效率和稳态光学量子效率降低,引发明显光抑制;而降雨增加则显著改善了这些荧光参数。通过相关性分析,荧光参数与光合参数呈现显著关联,证实了水分条件对光合机构功能的直接调控作用。
此外,降雨减少 30% 时,裸果木叶片中超氧阴离子和过氧化氢大量积累,引发膜脂过氧化损伤;而超氧化物歧化酶、过氧化物酶和过氧化氢酶活性同步增强,协同清除活性氧,缓解光合机构损伤。这一抗氧化防御机制的揭示,为理解沙生植物的抗旱策略提供了重要依据。

图 3. 降雨变化下裸果木叶片叶绿素荧光参数的变化

表 2. 光响应曲线特征参数与荧光参数之间的相关性
光合仪与叶绿素荧光成像的协同应用,实现了从气体交换到光合机构内部功能的全方位监测和解析,为量化降雨变化对植物生理特性的影响提供了可靠技术手段。该研究成果不仅阐明了裸果木对降水变化的适应机制,也为西北干旱区荒漠植物资源保护、生态系统修复提供了科学支撑。



左图 FluorTron®叶绿素荧光成像大田监测;中图:叶绿素荧光成像;右图:叶绿素荧光光谱动态(EcoTech® 实验室提供)