在种质资源检测与评估研究中,首要的工作是对种子活力进行准确全面的评估。种子的生长活力与抗逆能力将直接决定作物是否能够应对生长过程中遇到的各种环境胁迫,并最终获得较高的产量。

大豆种子活力与生长过程的关系(Ebone,2020)
种子活力评估一般是通过种子萌发实验来检测发芽率、胚根、胚轴长度等。一般的传统方法需要人工计数来测量幼苗和计算发芽率,工作量极大,也非常耗时。而基于彩色图像分析来识别发芽幼苗又存在很大误差。而胚根、胚轴长度等基础形态数据,也无法全面评估萌发种苗的生长潜势和抗逆能力。因此,在近年的最新研究中,国内外学者把先进的植物表型成像技术引入种子活力与种质资源检测研究中,取得了一系列更有效、更全面、更有意义的研究成果。
早在2012年,以FluorCam叶绿素荧光成像技术为基础,PSI公司开始研制生产PlantScreen植物表型成像分析平台。开发的平台既有与科研机构合作、针对拟南芥等模式植物的科研型表型平台,也有与国际种业公司合作、专门用于育种的表型平台。从2012年至今,PlantScreen植物表型成像分析技术在国际表型组学、基因组学、遗传育种、生理生态研究机构与农业育种公司都得到广泛应用。经过十多年不懈的改进与研发,PlantScreen植物表型成像技术已经得到了植物表型组学研究者的广泛认可,仅大型系统平台的全球安装量就超过60套,并发表了大量学术论文和科研成果。PlantScreen系统通过预设程序,实现自动化的培养与表型成像测量,结合自动称重浇灌单元,理想情况下可以实现植物全生活史的无人值守自动培养与测量。这一系统既可用于测量拟南芥、烟草等模式植物,也可用于测量玉米、水稻等作物,番茄、生菜、西瓜等水果蔬菜,乃至松树、杨树、椰子等苗木。下面我们通过几个研究案例,介绍PlantScreen系统在种质资源与种子活力高通量表型检测方面的研究案例:

德国亥姆霍兹慕尼黑中心PlantScreen传送带版高通量植物表型成像分析系统,同时配备了白、红、蓝三色LED培养光源
案例一、利用高通量表型成像系统对拟南芥种子萌发与种苗活力进行高通量连续检测
赫尔辛基大学的研究人员为了研究一种新的ABA响应泛素E3连接酶对拟南芥种子活力的影响,设计了一个基于高通量叶绿素荧光成像分析的萌发实验。
他们使用的一套PlantScreen传送带式表型成像分析系统可以自动对植物样品进行连续培养和表型监测,非常适用于进行高通量的种子萌发实验。其配备的LED光照控温培养室能够模拟理想的光照与温度条件。自动传送系统可以按设置的序列自动让样品传送到成像室。内置的FluorCam叶绿素荧光成像模块可以通过监测种子萌发后刚展开子叶的最大荧光值Fm,非常有效地识别发芽的种子。专用的分析软件能够很容易地将未萌发种子和背景去除掉,从而使发芽率计算极为准确。
左图:高通量叶绿素荧光成像分析工作流程;a.播种、放置样品、成像测量、图像分析;b.最大叶绿素荧光Fm成像图的分析过程;右图:不同处理的发芽率动态曲线
叶绿素荧光成像同时测量萌发种苗的叶绿素荧光参数如QY_max最大光化学效率(Fv/Fm,对各种胁迫极为敏感)、QY实际光化学效率(量子产额)、NPQ非光化学淬灭(与光系统热耗散、光保护机制有关)、Rfd荧光衰减比率(也称为活力指数)、冠层面积等,可反映种苗光合能力和抗逆能力。热成像单元可以提供冠层和叶片温度数据,反映植物蒸腾、水分利用状态以及病害等胁迫信息。这些指标已经广泛用于幼苗生长潜势、植株抗逆能力和生产潜力的评估,并得到了大量的验证。本研究成功建立了一个更加高效、可扩展的高通量萌发筛选平台,为种子活力分析与种质资源评估提供了新工具。

左:泛素E3连接酶在ABA反应途径中的功能假说;右:对应处理的冠层投影面积、各项叶绿素荧光参数、冠层温度的动态曲线
参考文献:
案例二:番茄幼苗生物与非生物逆境胁迫的表型应答研究
荷兰植物生态表型中心(Netherlands Plant Eco-phenotyping Centre,NPEC)由荷兰瓦赫宁根大学(Wageningen University & Research, WUR)与乌得勒支大学(Utrecht University) 共同合作建设和运营,装备了多套不同型号的PlantScreen植物表型成像系统与FluorCam叶绿素荧光成像系统。

NPEC装备的多套不同型号PlantScreen植物表型成像分析系统,集成有叶绿素荧光、多光谱荧光、RGB、高光谱、红外热成像、激光雷达等多种表型成像传感器
马铃薯胞囊线虫(PCN)是全球马铃薯产区最具破坏性的病原线虫之一,每年造成巨大的经济损失。PCN在田间的侵染通常呈“病灶”状分布,即仅在某些区域集中发生。然而,早期、精准地定位这些病灶非常困难,因为传统的土壤取样和线虫鉴定方法既耗时又费力。因此,开发一种快速、非破坏性、症状前的检测技术,对于实现精准的局部防控、减少农药使用和降低经济损失具有重要意义。本研究旨在探索叶绿素荧光分析作为一种前沿的植物生理监测技术,是否能够通过检测植物地上部光合系统的细微变化,来间接、早期地诊断出地下部根系的PCN侵染。
NPEC的研究人员将番茄种植于PlantScreen高通量传送带表型系统的样品托盘中,设置了5个不同梯度的PCN接种密度,利用PlantScreen系统的FluorCam叶绿素荧光成像单元在接种后连续自动监测26天的叶绿素荧光动态成像。
研究发现,叶绿素荧光参数对PCN侵染的响应远早于传统生长指标:
1)极早期响应: 在接种后第1天,反映光合速率的ΦPSII和光合系统热耗散的NPQ就发生了显著变化。此时,线虫可能尚未侵入根系,研究者推测可能是线虫卵自发孵化或其分泌的特定分子(效应子)触发了植物的早期免疫反应所致。
2)高灵敏度: ΦPSII是对低水平侵染最敏感的指标。即使在最低接种密度(5卵/克土)下,从第1天起就能检测到其下降。而NPQ则在第1天对高接种密度表现出响应。
最大光化学效率Fv/Fm、PSII潜在活性Fv/F0则响应较晚且对低侵染水平不敏感。
本研究成功证明了:叶绿素荧光分析,特别是NPQ和ΦPSII这两个参数,能够作为一种极其灵敏的工具,在番茄幼苗出现任何可见症状之前,有效检测出地下部的马铃薯胞囊线虫侵染。

不同叶绿素荧光参数随虫卵密度、侵染进程的变化
西北农林科技大学、农业农村部农业物联网重点实验室借助PlantScreen传送带式植物表型成像分析系统和干旱胁迫状态识别模型,对番茄幼苗的干旱胁迫进行早期监测和等级判定,获得了较高的识别准确率。
研究小组首先利用PlantScreen传动带植物表型成像分析系统中的FluorCam叶绿素荧光成像单元采集不同干旱胁迫程度的番茄幼苗冠层叶绿素荧光图像。每个样本均获取98幅荧光图像,即共有98个叶绿素荧光参数,从而克服了目前大部分研究未能充分利用叶绿素荧光参数信息和未利用荧光图像信息的问题。他们从中提取了5个敏感荧光参数并通过多种算法分析了其在不同干旱等级下的变化趋势。实验结果表明,这5个荧光参数及其对应的图像特征可用于评价番茄幼苗的干旱胁迫等级,并具有较好的评价效果,对植物干旱胁迫的无损诊断具有重要的应用前景。

左图:不同干旱胁迫程度的叶绿素荧光成像图和荧光参数相关性分析;右图:本研究中使用的小型PlantScreen传送带版高通量植物表型成像分析系统
参考文献:
案例三:林木幼苗活力与抗逆性的表型检测方案
除了模式植物、蔬菜、作物等,在近年的最新研究中,高通量表型成像技术也开始应用于林木幼苗的活力评估与抗逆研究。
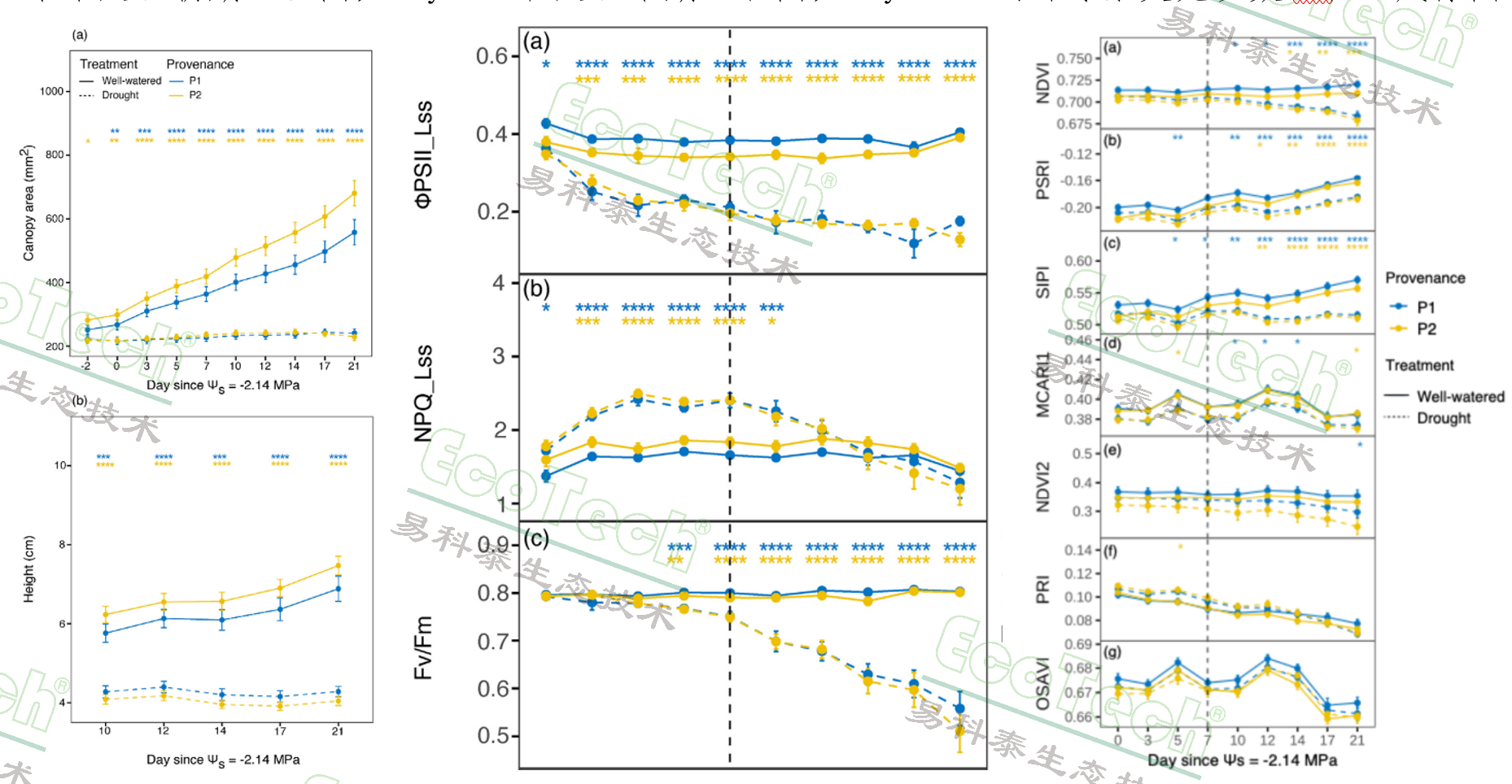
挪威云杉(Picea abies)作为欧洲分布最广的针叶树种之一,对干旱高度敏感。奥地利森林研究中心的研究人员将两个气候差异明显的云杉种源(P1:来自较高海拔,气候较冷湿;P2:来自较低海拔,气候较暖干)进行干旱处理后,利用一套PlantScreen传送带式表型成像分析系统对幼苗进行了RGB 成像、叶绿素荧光成像、高光谱成像(VNIR + SWIR)、3D 激光扫描等高通量表型成像分析,共提取 56 个与生长形态、光合、水分状态、植被指数相关的表型参数。
结果表明,在干旱早期,云杉气孔关闭、NPQ 增强、抗氧化物质积累为核心,形成多层保护,延缓光系统和光合机构的损伤;而随着干旱持续,PSII 出现不可逆损伤,生长完全停滞乃至死亡。在种源差异方面,P1 在光系统稳定性上表现更为稳健,P2 则对干旱更为敏感。

干旱处理初期(左图,Day 0)和处理末期(右图,Day 21)的叶绿素荧光参数Fv/Fm成像图

左图:形态数据动态曲线;中图;叶绿素荧光动态曲线;右图:高光谱植被指数动态曲线
捷克生命科学大学以欧洲广泛分布的欧洲赤松(Pinus sylvestris L.)为对象,在温室控制条件下模拟干旱与复水过程,结合高通量表型分析(HTPP)与SNP基因分型系统分析了来自捷克境内三个不同海拔(低地、中山地)种源实生苗的表型与遗传应答,探讨了其耐旱性差异及遗传基础。
研究中使用PlantScreen传送带式表型成像分析系统对整个过程进行了高时间分辨率的表型连续测量,包括:

左图:实验准备与设计示意图;右图:研究人员在PlantScreen传送带式表型成像分析系统上进行样品准备工作
结果表明,叶绿素荧光参数在干旱处理后都会显著低于对照组,而在复水后则有所恢复。SFR_R在干旱处理后13天即出现显著差异,表明叶绿素含量或新松针发育受到影响;复水后干旱组值仍低于对照。干旱组ΔT温差显著增大,反映蒸腾降温能力下降;复水后温差仍高于对照,但这可能部分归因于高温天气。

5项主要表型数据的动态变化曲线
综合来看,欧洲赤松在超过一个月的零可用水条件下仍能存活,显示较强的物种水平耐旱性。不同种源在生理表型反应速度和程度上的差异,体现了本地适应在耐旱性中的作用。各项表型参数(尤其是QY max、QY Lss、SFR_R、ΔT)具有较高遗传力,可用于苗期非破坏性耐旱性筛选。这一成果为气候变化背景下欧洲赤松的种源选择、辅助迁移和森林恢复提供了理论基础与实践工具。
参考文献:
北京易科泰生态技术公司提供种质资源表型分析技术全面解决方案并提供相关参考文献:

左图:荷兰瓦赫宁根大学装备的PlantScreen传送带式植物表型成像分析系统和PlantScreen XYZ 三维扫描植物表型成像分析系统

左图:新一代FluorCam1300多激发光多光谱荧光成像系统;右:利用FluorCam叶绿素荧光成像技术测量番茄种子萌发率并评估种苗活力